English Verion | 永利23411集团官网 | 语言文化中心
首页 永利概况 师资队伍 本科教育 研究生教育 学科科研 永利集团 学生工作 合作交流
 
 
学科科研
学科设置
学术交流
科研机构
科研成果
相关政策
相关政策 当前位置: 首页 > 学科科研 > 相关政策 > 正文
永利23411集团研究生学业奖学金评审实施细则(试行)
发布时间:2016-09-27   浏览次数:

第一章 总则

第一条 为激励研究生勤奋学习、潜心科研、勇于创新、积极进取,在全面实行研究生收费制度的情况下更好地支持研究生顺利完成学业,根据《江苏省研究生学业奖学金管理暂行办法》(苏财规〔2014〕2号)等文件规定,结合我校实际情况,制定本细则。

第二条 本细则适用于我校录取的国家研究生招生计划内的非定向全日制研究生(指全脱产学习,入学时档案、人事关系全部转入我校,并且没有固定工资收入的研究生)。

第三条 研究生学业奖学金(以下简称奖学金)按博士奖学金和硕士奖学金两类进行评审。奖学金每学年评审一次。

第二章 研究生综合测评

第四条 研究生综合测评(G)包括基本素质(G1)和学习、科研创新与实践能力(G2)两部分。

第五条 基本素质测评分为:思想修养、学习态度、身心素质、行为举止、社会实践等五个方面。

1.思想修养:思想上积极要求进步,拥护党的路线、方针、政策,认真参加思想政治理论课学习及校、培养单位组织的各项政治学习活动,自觉树立正确的世界观、人生观和价值观,具有较高的思想道德修养。

2.学习态度:具有明确的学习目标,学习态度端正,勤奋刻苦,能够积极参加学校组织的各种教学、实践活动,在学习中不断提高自身的知识水平和创新能力。

3.身心素质:具有良好的心理素质、学习生活状态和精神面貌,人际关系和谐,具有较强的社会适应能力;身体素质良好,积极参加各种体育锻炼和竞赛活动。

4.行为举止:遵章守纪,举止文明,言谈得体,自觉执行高校学生文明行为准则,在同学中具有较好的个人形象,在校期间无处分记录。

5.社会实践:积极参加社团组织、志愿服务、社会实践以及各类科技竞赛活动,通过实践锻炼提高自身的社会适应和竞争能力。

第六条 基本素质测评采取民主评议和辅导员考核相结合的方法。计算公式:G1=G1′×60%+G1″×40%,其中,全班民主评议采用逐人评分制,满分100分,该生得分总和平均值为G1′;辅导员根据该生入学后的综合表现评分,满分100分,其评分结果为G1″。

第七条 若有下列情况之一,基本素质总评为不合格:

1.基本素质测评五个组成部分中有三个及以上不合格者;

2.违反法律法规,已经受到司法部门或公安机关处罚者;

3.违反校纪校规受处分者;

4.无特殊原因而未按时足额缴纳相关费用者;

5.在学生公寓各项检查评比中综合成绩不合格者;

6.参加学术讲座和科技活动次数未达到培养单位规定者;

7.言行不当,给学校或集体造成不良社会影响者;

8.在创新实践能力测评中弄虚作假,虚报成果者。

第八条 学习与科研实践能力测评

学习与科研实践能力测评含课程学习成绩测评和科研实践成果测评两部分。其计算公式:G2= G2′×Q1%+G2″×Q2%+ G2″′×Q3%,其中,Q1、Q2、Q3分别为G2′、G2″、G2″′所占权重,其值由各培养单位根据不同学科情况自行确定。

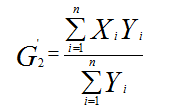
1.课程学习成绩(G2′)

G2′为研究生第一学年平均成绩,计算公式为:

2345截图20160925192615.png

式中 Xi——参加测评的每门课程的成绩(均采用百分制形式);

Yi ——相应课程的学分数;

n ——参加测评的课程总门数。

课程学习成绩计算公式中的测评课程为第一学年内选修的课程;重修课程等成绩不计入课程学习成绩测评。五级记分制与百分制成绩换算标准为:优—90分,良—80分,中—70分,及格—60分,不及格—40分。G2′按学年计算,以其实际数计入总分。如有测评范围内课程成绩不及格者,则视为该生学习与科研能力不及格。

2.科研成果测评(G2″)

科研成果主要是指研究生在测评学年内通过自身努力发表的学术论文、发明专利和参与课题等科学研究。科研成果应符合《永利23411集团关于研究生在学期间发表学术论文的规定》要求。科研成果测评采用加分办法,分项累加实际得分(G2″),具体加分办法由各单位自行制订。

3.专业学位研究生实践环节测评(G2″′)

专业学位研究生在第三次评审时进行实践环节测评,测评结果为优秀、良好、合格、不合格,评审为一等奖学金其实践环节必须为优秀,不合格者不得参评学业奖学金。

第九条 在科研成果测评和创新实践能力测评中弄虚作假、虚报成果的,经核实后扣去全部加分,并不得参评奖学金。

第十条 测评结果及其应用

研究生综合测评的最终得分(G)由基本素质测评得分、学习与科研能力测评得分加权得出,计算公式为:G=G1×20%+G2×80%。根据G值高低、获奖比例确定相应等级奖学金。

基本素质测评(G1)作为先进个人评选和奖学金评审的基础依据,基本素质测评不合格,不得参加先进个人评选和奖学金评选;学习与科研实践能力测评(G2)作为奖学金评审的主要依据。不同类型研究生在不同学年,其G2计分方式及权重可根据学科情况由培养单位自行制订。

第三章 奖学金评审

第十一条 奖励等级、比例、标准及条件

1.奖励等级、比例及标准:

第一学年,设一等奖、二等奖、三等奖,相应获奖比例分别不超过参评人数的20%、50%、30%,奖励标准为:

博士研究生:一等奖18000元、二等奖15000元、三等奖13000元;

硕士研究生:一等奖12000元、二等奖9000元、三等奖7000元。

第二学年,只设三等奖,获奖比例可达100%,奖励标准为:

博士、硕士研究生分别为13000元、7000元。

第三学年,设一等奖、二等奖,相应获奖比例分别不超过总人数的20%、50%,奖励标准为:

一等奖5000元、二等奖2000元。

2.评审基本条件。

(1)热爱社会主义国家,拥护中国共产党的领导;

(2)遵守宪法和法律,遵守学校规章制度;

(3)诚实守信,品学兼优;

(4)基本素质测评在合格及以上;

(5)学位英语通过;

(6)第一学年奖学金参评者,须按要求完成本人学习计划内的课程且各门课程成绩均≥60分,并按培养单位要求完成学年内培养环节各项任务;

第二学年奖学金参评者,须按培养单位要求完成学年内培养环节各项任务;

第三学年奖学金参评者,须按要求完成学校、培养单位规定的各个培养环节;在学期间取得的科研成果及其学位论文均符合申请博/硕士学位条件。其中,一等奖学金参评者,其在学期间取得的科研成果和学位论文“盲审”成绩必须满足校优秀博士、硕士学位论文的参评条件,各培养单位将初选获奖名单公示后报学生工作处,由永利23411集团学生奖贷基金工作领导小组组织,评审出第三学年研究生学业奖学金获奖者及等级。

第十二条 获得学业奖学金者,可同时按条件申请其他研究生国家及校奖助政策资助。

第十三条 硕博连读研究生,根据当年所修课程的层次阶段确定身份参与奖学金的评审。在选修硕士课程阶段按照硕士研究生身份参与评审,进入选修博士研究生课程阶段按照博士研究生身份参与评审。

第四章 评审程序

第十四条 奖学金评审程序如下:

1.学生工作处发布奖学金评审工作通知;

2.培养单位开展研究生综合测评;

3.研究生向所在培养单位提交个人申请;

4.培养单位研究生奖助学金评审工作小组负责整理汇总本单位研究生评奖基础材料。成绩汇总单、科研成果和社会实践等分别由本单位研究生秘书、导师和辅导员核准,并签字、盖章。

5.各培养单位研究生奖助学金评审工作小组要本着“公开、公平、公正”的原则,根据本单位制定的评奖细则组织评审。评审结果要在单位进行不少于5个工作日的公示。公示结束后,将奖学金评审建议名单上报学生工作处。

6.学生工作处会同研究生院审核后,将审定结果在全校范围内进行公示后,由学生工作处负责审批。

7.学校每年11月30日前将当年研究生学业奖学金一次性发放给获奖学生,并将获奖情况记入学生学籍档案。

第五章 监督检查

第十五条 奖学金评审应遵循公开、公平、公正原则和德、智、体、美全面发展的标准,宁缺毋滥。奖学金审批前须公示,接受监督。

第十六条 学生对奖学金评审结果有异议的,可向所在培养单位反映,培养单位在受理后及时做出处理。学生对处理意见仍持有异议的,可在处理后3个工作日内以书面形式向学生工作处提出复议,学生工作处应及时进行调查并做出最终处理意见,答复学生本人并通知学生所在培养单位。

第十七条 已获批奖学金的学生,如发现其在评奖过程中有弄虚作假行为、严重违反校规校纪现象,将取消其获奖资格,追回证书及奖金,并给予相应纪律处分。

第六章 附 则

第十八条 本细则从2014级研究生开始施行。

第十九条 本细则由学生工作处负责解释。

第二十条 《永利23411集团研究生奖励条例(试行)》(江大校〔2011〕201号)相应规定适用于2012级和2013级研究生,并于2015年12月自动废止。

 
© Copyright 中国·yl23411(永利-YL·CHN)集团官网-Officialwebsite 版权所有
地址:江苏省镇江市京口区学府路301号永利23411集团永利23411集团 邮编:212013
Tel:0511-88781693 Email:sla@ujs.edu.cn